国产又黄又猛

    国产又黄又猛
    当前位置: 首页 > 研究生培养 > 国产又黄又猛 > 正文

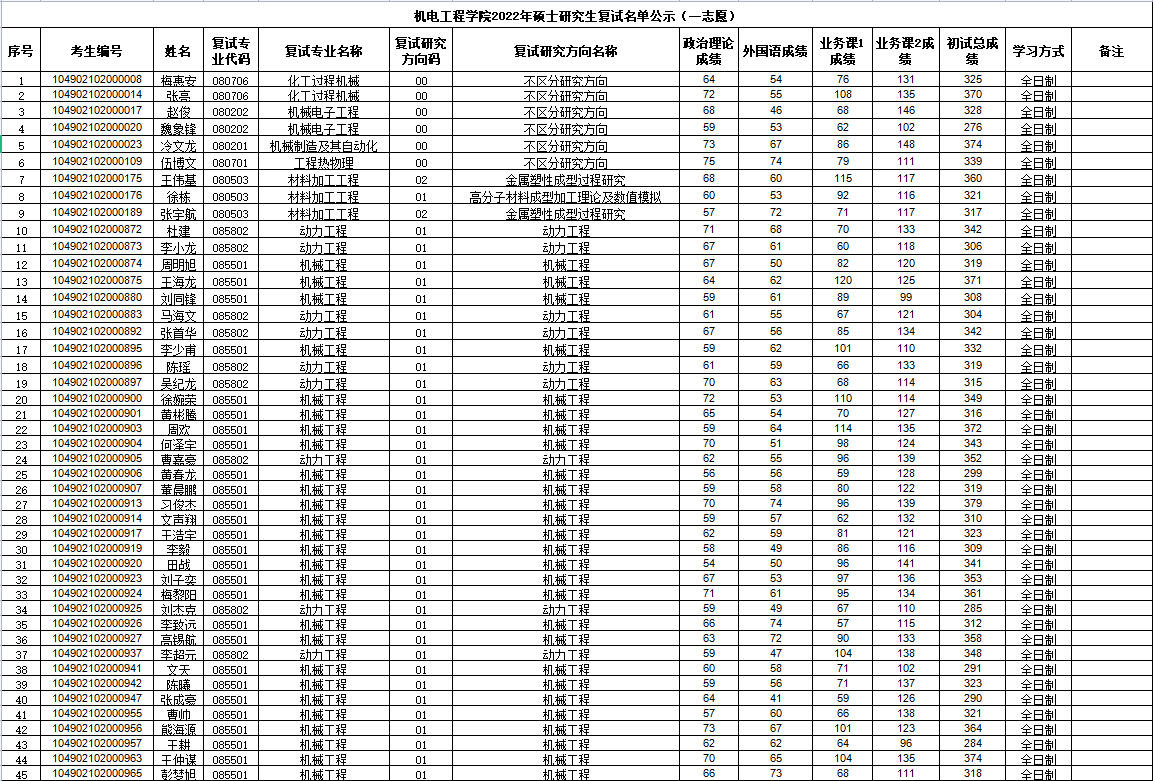
    免费看黄色网站2022年硕士研究生复试名单公示(一志愿)

    发布时间:2022-04-04  发布者: 点击阅读数: